Бизнес-план «Спорт-бар».
На основании расчетов полученных в разделе 3 настоящей работы рассчитаем основные технико-экономические показатели деятельности фирмы. К таким показателям относятся показатели представленные в таблица.
Таблица 14
Технико-экономические показатели
|
Производительность труда |
выручка от реализации среднесписочная численность |
158400 |
|
Фондоотдача |
выручка от реализации средняя стоимость основных средств |
0,283 |
|
Рентабельность |
прибыль от реализации выручка от реализации |
45% |
График 1. График дисконтирования.
Таким образом, на основании рассчитанных показателей становиться очевидным, что в течение первого года деятельности рентабельность завода будет 45%, производительность труда одного работника составит 158400 руб.
К показателям экономической оценки эффективности проекта рассчитывают относиться:
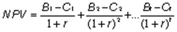
- Чистый дисконтированный доход рассчитывается по формуле:
где Bt - выгоды проекта в год t
Ct - затраты проекта в год t
t = 1 . n - годы жизни проекта
Инвестору следует отдавать предпочтение только тем проектам, для которых NPV имеет положительное значение. Отрицательное же значение свидетельствует о неэффективности использования денежных средств: норма доходности меньше необходимой.
- Индекс прибыльности.
Индекс прибыльности (profitability index, PI) показывает относительную прибыльность проекта, или дисконтированную стоимость денежных поступлений от проекта в расчете на единицу вложений. Он рассчитывается путем деления чистых приведенных поступлений от проекта на стоимость первоначальных вложений:
где: NPV - чистые приведенные денежные потоки проекта;
Со - первоначальные затраты.
- Внутренняя норма рентабельности это показатель при котором NPV=0. В этой точке дисконтированный поток затрат равен дисконтированному потоку выгод. Она имеет конкретный экономический смысл дисконтированной "точки безубыточности" и называется внутренней нормой рентабельности, или, сокращенно, IRR.
Таблица 15
Целесообразность Спорт-бара
|
Наименование товара |
Себестоимость |
Доход |
|
Обслуживание посетителей |
97200 |
997200 |
Таблица 16
Показатели экономической эффективности проекта
|
0 |
1 |
2 |
3 |
4 |
5 | |
|
Денежный поток |
-1103920 |
705613 |
705613 |
705613 |
705613 |
705613 |
|
Коэффициент дисконтирования (15%) |
1 |
0,8696 |
0,75614 |
0,65752 |
0,571753 |
0,49718 |
|
Дисконтированный денежный поток |
-1103920 |
613576 |
533545 |
463952 |
403436,3 |
350814 |
|
Чистый приведенный доход NPV |
1261403,74 | |||||
|
Индекс прибыльности PI |
39% | |||||
|
срок окупаемости проекта |
2,5 года |
