.Экономическая эффективность
При анализе использования рабочего времени необходимо сравнивать динамику часовая, дневная и годовая выработка рабочих. Если индекс дневной выработки меньше индекса часовой, то это является показателем увеличения внутренне переменных потерь рабочего времени, а превышение индекса годовой выработки над индексом дневной свидетельствует о росте числа явочных дней в году и на оборот. Сравнение динамики показателей часовой, дневной и годовой выработки рабочих позволяет сделать вывод об изменениях в использовании рабочего времени за отчетный период. Но этим методом можно получить только относительные показатели улучшения или ухудшения использования рабочего времени по сравнению с базисным периодом. Для выявления же резервов роста производительности труда за счет лучшего использования фонда рабочего времени необходимо знать абсолютные размеры потерь рабочего времени. Размер внутренне переменных потерь рабочего времени следует определять путем проведения фотографий рабочего дня, а также на основе изучения учетных материалов о простоях, доплатных листках, выписываемых за дополнительную работу при отступлении от нормальных условий технологического процесса, при переработке бракованной продукции и тому подобное Производительность труда растет прямо пропорциональная увеличению фонда рабочего времени в среднем на одного рабочего. Если потери рабочего времени составляли в базисном периоде n%, а в плановом намечены они сократить к т %,то производительность труда рабочего повысится на:
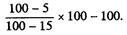
Расходы рабочего времени на каком-то участке производства составляют 15%, и есть возможность сократить их при осуществлении соответствующих мероприятий до 5%, тогда это повысит производительность труда на 11,8%:
Намечено сократить внутренне переменные потери с 10 до 5% рабочего времени, экономия в этом случае будет равняться 5.26:
Если данное мероприятие расширяется на 500 рабочих, то экономия численности составляет 26 чел. (500 х 5,26 : 100).
В ряде случаев эффективность мероприятий может быть незначительной. Тогда экономию рабочего времени следует вычислять в человеко-часах. Для определения экономии в численности рабочих нужно подытоживать экономию в часах по ряду мероприятий, а затем уже переводить в средне штатную численность рабочих по формуле:
где ФРВ — годовой фонд рабочего времени одного рабочего, ч;
Tсн — снижение трудоемкости в нормо-час;
К — коэффициент выполнения норм выработки.
Вывод
Таким образом нормирование труда — это основа ее организации на предприятии, это вид деятельности по управлению предприятием, направленный на установление оптимальных соотношений между расходами и результатами труда, а также между численностью работников разных групп и количеством единиц оборудования.
Основными объектами нормирования труда является рабочее время, объем работы, зона обслуживания, затраты энергии работников.
