Научно-технический уровень автоматизированных систем управления (АСУ)
Специфика создания и функционирования АСУ затрудняет оценку ее качества. Для одной и той же управляемой системы могут быть созданы самые различные АСУ, внешне вполне удовлетворительно выполняющие свои функции, но на самом деле качественно отличающиеся друг от друга. Тем более затруднительно сопоставлять системы для разных объектов.
Здесь вебкам студии.Для интегральной оценки в виде некоторого обобщенного количественного показателя степени соответствия качества АСУ поставленным при ее создании задачам, сравнения уровня разработки различных по назначению систем, сопоставления с тенденциями и уровнем научно-технического прогресса введен показатель научно-технического уровня (Т/ТУ) АСУ предприятиями и производственными объединениями. Оценка НТУ проводится на стадиях планирования, разработки, внедрения и функционирования АСУ.
На стадии планирования определяют плановый НТУ исходя из анализа тенденций изменения частных показателей НТУ, отражающих ранее решавшиеся задачи управления и предполагаемые для решения в планируемом периоде.
На стадии разработки проектов оценка НТУ используется для уточнения проектного уровня системы, сопоставления выполненных проектов с заданным проектным уровнем, выбора методов проектирования, обеспечивающих достижение заданного НТУ, определения необходимых для повышения НТУ научно-исследовательских работ. Задают значение НТУ исходя из тенденций развития отрасли народного хозяйства под влиянием научно-технического прогресса.
На стадии внедрения и функционирования оценка достигнутого НТУ позволяет определить направление развития системы и соответствие НТУ проектным условиям.
В соответствии со стадиями создания АСУ различают потенциальный, прогнозируемый, проектный и достигнутый НТУ АСУ.
Потенциальный НТУ – это наивысший из возможных, он используется для оценки перспектив развития АСУ.
Прогнозируемый НТУ получают для различных вариантов АСУ; он позволяет выбрать наилучший из возможных вариантов в условиях ограничений по времени разработки и выделенным ресурсам.
Проектный НТУ определяется конкретными условиями создания и функционирования АСУ. Он не должен быть меньше некоторого уровня, минимально необходимого для возмещения затрат на создание и эксплуатацию системы.
Достигнутый НТУ определяют по фактическим значениям показателей работы АСУ в реальных условиях.
При выборе показателей для определения НТУ предъявляют следующие требования: каждый показатель должен характеризовать элемент или совокупность элементов, от которых зависит НТУ АСУ, а совокупность показателей - АСУ в целом; показатель должен содержать количественную оценку; число показателей должно быть ограничено, чтобы сбор значений и их обработка были достаточно простыми и нетрудоемкими; допустимо для значений показателя применять безразмерную шкалу.
Оценка НТУ для АСУ в целом определяется согласно формуле
![]()
где
Кэс + 0,1Кза + 0,1Копт = 1;
Кэс = 0,4;
Кза = Копт = 3;
Уэ – экономический уровень;
Ус - системотехнический уровень;
Уза - уровень охвата автоматизацией задач управления;
Уопт - уровень организации производства и труда.
Экономический уровень
![]()
где ТН и ТИ - сроки окупаемости соответственно нормативный и для рассматриваемой системы.
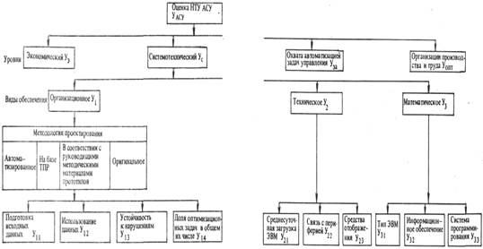
Системотехнический уровень
![]()
где Р1, Р2, Р3 - весовые коэффициенты важности показателей: У1 - организационного, У2 - технического и У3 - математического обеспечения. Значения P1, Р2, Р3 в зависимости от класса предприятия приведены в табл. 1.
Таблица 1

В свою очередь
![]()

Рис. 1.
Значение УП определяется в зависимости от принятой методологии проектирования:
при автоматизированном проектировании УП = 1,0;
на базе типовых проектных решений УП = 0,8;
в соответствии с руководящими методическими материалами прототипов УП = 0,7 и при оригинальном проектировании УП = 0,6.
Значения У11 определяются подготовкой исходных данных:
при индивидуальной подготовке У11 = 6;
при централизованной У11 = 10;
при комбинированной У11 = 8.
В зависимости от использования данных показатель У12 принимает значения:
при регламентации использования документа У12 = 5
при регламентации использования показателя У12 = 10.
По устойчивости к нарушениям различают системы, функционирующие при отказе элемента АСУ с нарушением – У12 = 5; без нарушения за счет резервирования функций персоналом У13 = 8 и за счет резервирования средств автоматизации – У13 = 10.
Если доля оптимизационных задач в общем их числе составляет до 5%, то У14 = 3; от 5 до 20% - У14 = 8 и свыше 20% - У14 = 10.
Показатель уровня технического обеспечения
![]()
Значения Р2i равны: Р21 = 0,5; Р22 = 0,3; Р23 = 0,2. При среднесуточной загрузке ЭВМ до 8 ч У21 = 3; до 14 ч - У21 = 5; до 18 ч - У21 = 8, свыше 18 ч - У21 = 10.
При неавтоматической связи с вычислительным центром У22 = 2; при полуавтоматической У22 = 6 и при автоматической У22 = 10. Если в системе предусмотрена сигнализация при возникновении отклонений, то У23 = 3: при регламентных средствах отображения У23 = 7; при ответно-запросных устройствах У23 = 10.
Показатель уровня математического обеспечения
![]()
Значения Р31 = 0,3; Р32 = 0,5; Р33 – 0,2. Для машин серии ЕС и других этого класса У31 = 8.
При локальном решении задач информационного обеспечения У32 = 3; при едином нормативном хозяйстве У32 = 5 и с единой информационной базой У32 = 10.
Если система программирования математического обеспечения относится к алгоритмическим языкам, У33 = 5, а для операционных систем У33 = 10.
Уровень охвата автоматизацией задач управления определяют по формуле
Уза = Nа / Nст,
где Na - количество задач, решаемых автоматизированным способом; Nct - число задач, которые возможно автоматизировать для данного класса предприятия.
Для более точных расчетов может быть дополнительно введена оценка сложности задач, учитывающая состав планируемых и отчетных показателей в задаче и их важность для выполнения определенной функции управления.
Показатель уровня охвата автоматизацией задач управления может быть определен по формуле

где Пр – количество плановых показателей в выходных документах, полученных на основе алгоритма, отображающего традиционные методы планирования;
Пэ – количество плановых показателей в выходных документах, полученных в результате использования методов оптимизации;
Пм - количество плановых показателей в выходных документах, полученных при использовании алгоритма, предусматривающего выдачу нескольких вариантов планов и выбор одного из них управленческим персоналом в зависимости от конкретной производственной ситуации;
По, Оо - общее количество соответственно плановых и отчетных показателей предприятия, определяемое в результате анализа документооборота предприятия на стадии проектирования;
п, т, k - количество задач, решаемых в АСУ для получения соответственно показателей Пр, Пэ, Пм;
Ом - количество отчетных показателей, полученных в выходных формах документов с месячной периодичностью;
Оr - количество отчетных показателей, полученных в выходных формах документов с периодичностью более суток;
l, р, s – количество задач, решаемых в АСУ для получения соответственно показателей Ом, Ое, Оr.
Уровень организации производства и труда по предприятию в целом
![]()
где C1 – зарплата производственных рабочих, руб.;
С2 – средняя стоимость основных фондов» руб.;
С3 - средняя фактическая величина нормируемых оборотных средств, руб.;
Уитр - уровень использования трудовых ресурсов;
Уоф - уровень использования основных фондов;
Уоб - уровень использования оборотных средств; Ук – уровень качества продукции;
Ен – нормативный коэффициент эффективности капитальных вложений.
Схема получения входящих в Уотп показателей приведена на рис. 2.

Рис. 2
Уровень использования трудовых ресурсов
![]()
где K1, K2 и К3 - коэффициенты соответственно использования рабочего времени, интенсивности труда и использования квалификации рабочих, определяемые по формулам:
![]()
где n - количество рабочих;
П - потери рабочего времени одним рабочим;
Фр – общий фонд рабочего времени за вычетом потерь;
![]()
где Sср - средний процент нормы выработки;
Sср.пр - средний прогрессивный процент выполнения плана;
![]()
где h - тарифная ставка выполнения работ; h1 - тарифная ставка рабочих.
Уровень использования основных фондов
Уоф = К4К5;
где
- стоимость установленного оборудования;
Сi - стоимость оборудования на балансе;
L - показатель использования оборудования по времени;
0,8 - КПД оборудования;
Nобщ – общий расход электроэнергии;
Ne - мощность главного привода;
Tр - располагаемый фонд времени работы оборудования; по – число единиц оборудования.
Уровень использования оборотных средств
![]()
где Копл = П/Со,
Коф и Копл - фактическая и плановая оборачиваемость оборотных средств;
П - выручка от реализации (по оптовым ценам); Со - средний остаток оборотных средств по плану.
Уровень качества продукции
![]()
где V1 - стоимость забракованной продукции;
V2 - затраты по реализации;
V3 -затраты на гарантийный ремонт;
V4 - прочие затраты, связанные с выпуском продукции ненадлежащего качества;
СП - себестоимость за планируемый период.
Аналитические показатели уровня организации производства и труда представляют собой следующие коэффициенты:
коэффициент ритмичности
К6 = 1 - ΣD/П;
где D - невыполнение плана за день или декаду; П - продукция по плану;
коэффициент нормирования труда
К7 = (Рс /Ро)Кн,
где Рс - число рабочих-сдельщиков; Ро - общее число рабочих; Кн - коэффициент напряженности норм;
коэффициент поточности
К8 = П1/Ро,
где П1 - число рабочих, занятых на поточных линиях;
коэффициент охвата механизированным трудом
К9 = Б1/Ро,
где Б1 - число рабочих, занятых механизированным трудом;
коэффициент специализации
![]()
где ti - трудоемкость i-го изделия;
d – удельный вес изделия в общей трудоемкости;
Т - общая трудоемкость в нормо-часах;
nи - число видов изделий;
коэффициент освоения норм проектов трудоемкости
![]()
где ti - трудоемкость i-го изделия;
Ni - годовая программа i-го изделия;
q - коэффициент освоения проектной трудоемкости;
Т - трудоемкость на программу;
ni – число изделий;
коэффициент отношения роста производительности труда и заработной платы
К12 = Крпт/Крз,
где Крпт – коэффициент роста производительности труда за анализируемый период;
Крз - коэффициент роста заработной платы; коэффициент условий труда
![]()
где т - количество рабочих обследованных подразделений;
а - коэффициент соответствия показателей условий труда нормативным.
